Публикация посвящена вопросам применимости российского программного обеспечения CADFlo и ЛОГОС Аэро-Гидро (ЛОГОС АГ) для моделирования мультифизичных задач прикладной магнитной гидродинамики (МГД). В качестве тестового примера рассмотрена задача движения расплава внут-ри индукционной тигельной печи. Было выполнено моделирование в обоих численных пакетах, результаты сравнены с данными, полученными в зарубежном мультифизическом пакете COMSOL Multiphysics. Общий вывод — отечественное программное обеспечение может решать МГД-задачи в упрощенной постановке, а кроме того, есть перспективы ее усложнения в сторону реалистичности физических процессов, с использованием встроенных средств автоматизации данных пакетов.
Введение
Прикладная магнитная гидродинамика посвящена движению проводящей среды во внешнем электромагнитном поле. Чаще всего под такой средой подразумевается расплав металла, который может обладать высокой температурой, агрессивностью, а также оптически непрозрачен. Такой набор свойств приводит к тому, что экспериментальные исследования в значительной мере осложнены. Как итог, в данной области получило широкое распространение численное моделирование, которое позволяет безопасно исследовать процессы взаимодействия среды и поля.
Хотя численные методы обладают высокой эффективностью, их применение осложнено необходимостью учитывать сразу несколько связанных физик. Основными являются электромагнетизм и гидродинамика, в некоторых случаях к ним прибавляется теплообмен, а в самых сложных задачах добавляют химические реакции, движение частиц в потоке, фазовые переходы и многое другое.
Ранее при решении таких задач успешно применялись зарубежные пакеты для численного моделирования, в комплект которых входили инструменты для формулирования мультифизичных задач, например комплекс программ Ansys или COMSOL Multiphysics. В настоящий момент тренд на импортозамещение приводит к необходимости решать эти задачи с помощью российских программ. И поскольку многие пользователи не осведомлены об их возможностях и перспективах применения, в данной публикации мы постараемся осветить некоторые проблемы, касающиеся решения подобных вопросов.
В рамках статьи будет рассмотрена классическая задача движения расплава в индукционной тигельной печи под воздействием сжимающего электромагнитного поля, генерируемого ее индуктором. Электромагнитная задача будет решена в частотной области, гидродинамическая — в стационарной постановке. Образование мениска (свободная поверхность) и теплопередача внутри расплава или во внешнюю среду рассматриваться не будут. Электромагнитная часть задачи будет сформулирована в российском пакете CADFlo, гидродинамическая — в ЛОГОС Аэро-Гидро (ЛОГОС АГ). Для кросс-программной верификации результатов будут использованы данные, полученные для аналогичной задачи в ПО COMSOL Multiphysics (обе части выполнены в одном пакете).
Рассматриваемая задача и результаты анализа
Геометрия и свойства материалов
В качестве тестовой установки была выбрана индукционная тигельная печь с соотношением диаметра тигля к его высоте равным один к двум. Двумерная осесимметричная модель исследуемой печи и ее геометрические размеры приведены на рис. 1, электромагнитные параметры установки и свойства используемых материалов представлены в табл. 1.
Таблица 1. Электромагнитные параметры установки и свойства материалов


Рис. 1. Двумерная осесимметричная геометрическая модель индукционной тигельной печи (мм)
Электромагнитная задача
Электромагнитный расчет для получения распределения силы Лоренца был выполнен в программах CADFlo и COMSOL Multiphysics в частотной постановке для трех вариантов силы тока в индукторе. В обеих программах была построена структурированная сетка с размером ячейки 1 мм для расплава и неструктурированная сетка для остальных областей с размерами элементов от 1 до 15 мм. Скин-эффект учитывался только в области расплава, индуктор был заменен на 10 гомогенных витков с заполнением равным 100%.
Общее время счета (не включено время генерации сетки) для COMSOL Multiphysics составило 1780 с, для CADFlo — 2184 с.
Результаты анализа распределения силы Лоренца в расплаве на плоскости XZ для трех расчетных случаев представлены на рис. 2.

Рис. 2. Распределение силы Лоренца (Н/м3) в домене расплава для обеих программ (CADFlo — слева, COMSOL — справа) и трех случаев: А — 50 А,
В — 75 А, С — 100 А
Для всех расчетных случаев распределение величины вдоль оси Z, а также глубина скин-слоя соответствуют теоретическим представлениям о физике процесса. Максимальные значения и характер также хорошо совпадают для двух программ, но для более детального сравнения на рис. 3 представлен график величины силы Лоренца вдоль центральной линии плоскости XZ для трех расчетных случаев.

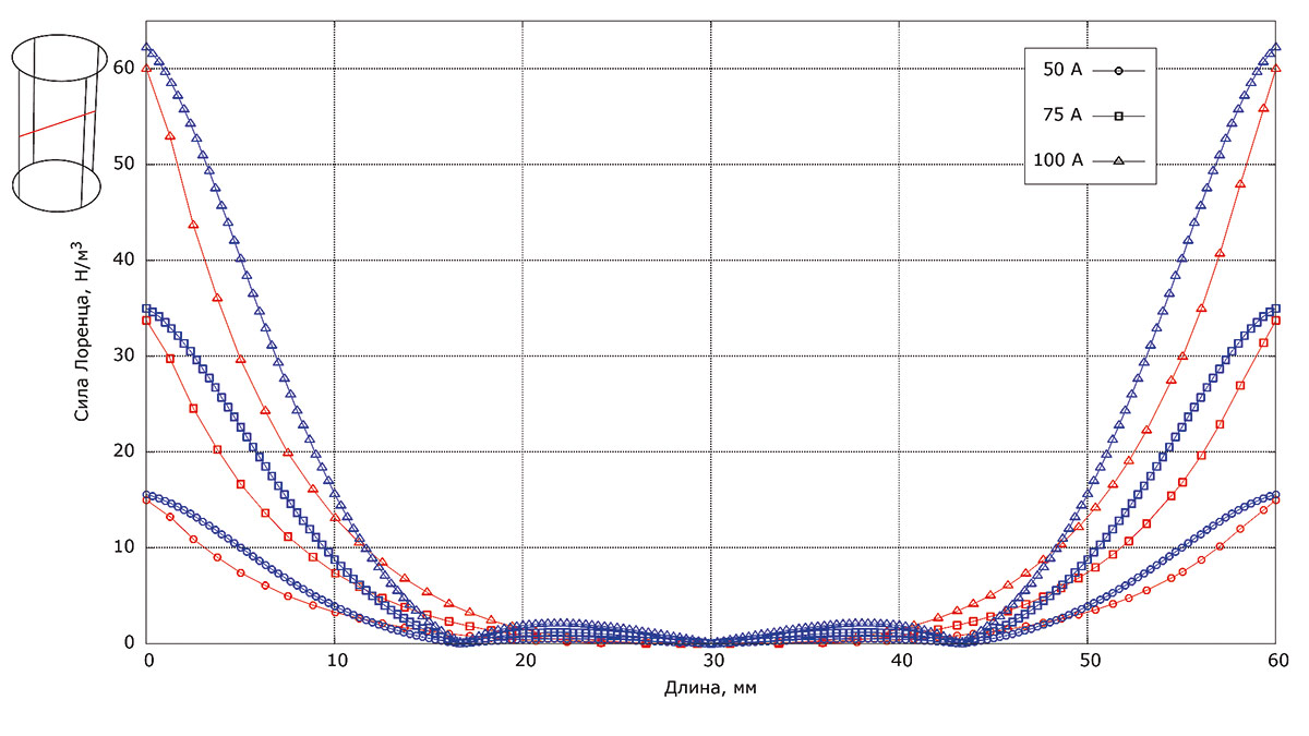
Рис. 3. График величины силы Лоренца вдоль центральной линии плоскости XZ для трех расчетных случаев: COMSOL — синий, CADFlo — красный
Можно видеть, что результаты расчетов в COMSOL Multiphysics и CADFlo качественно согласуются по характеру зависимости от координаты при токах 50 А, 75 А и 100 А. Несмотря на имеющиеся различия в характерах распределения, оба пакета дают сопоставимые результаты, пригодные для инженерного анализа электромагнитных сил в тигельной индукционной печи. Причина такого поведения может крыться в используемых численных схемах и требует дополнительного исследования.
Гидродинамическая задача
Полученные результаты электромагнитных расчетов были сохранены в виде *.csv-файла, который был дополнительно обработан в связи с тем, что требования к форматированию таблиц для использования в программах CADFlo и ЛОГОС АГ различаются. Были изменены порядок столбцов, их имена, а также размерность координат с миллиметров на метры.
Так как в программе ЛОГОС АГ объемное усилие не может быть приложено к пристеночным призматическим слоям, а также с целью нивелирования влияния переноса данных с одной сетки на другую для задачи была сформирована сетка, аналогичная электромагнитной части, с размером ячейки равным 1 мм. В программе COMSOL расчет также выполнялся на одной и той же сетке.
Гидродинамические параметры и значение числа Рейнольдса приведены в табл. 2.
Таблица 2. Гидродинамические параметры расчетной задачи
Общие параметры |
Ток, А |
Максимальная скорость 10-3, м/с |
Re |
ρ = 2400 кг/м3, |
50 |
2,2 |
220 |
75 |
4,1 |
410 |
|
100 |
6,4 |
640 |
Исходя из полученных значений, режим течения в печи ламинарный, поэтому для обеих программ была отключена модель турбулентности. Кроме того, в ЛОГОС АГ были изменены настройки для параметров релаксации и схемы для получения стабильного решения.
Общее время счета (не включено время генерации сетки) для COMSOL Multiphysics составило 2023 с, для ЛОГОС Аэро-Гидро — 2556 с.
Результаты анализа распределения поля скорости потока расплава на плоскости XZ для обеих программ представлены на рис. 4.
\
Рис. 4. Распределение скорости потока (м/с) и его траектория в домене расплава для обеих программ (ЛОГОС АГ — слева, COMSOL — справа) и трех случаев: А — 50 А, В — 75 А, С — 100 А
Данная визуализация подтвеждает основную согласованность результатов моделирования в ЛОГОС Аэро-Гидро и COMSOL Multiphysics для всех расчетных случаев. Расхождение максимальных значений не превышает 3%. Количество, положение и структура основных вихрей — удовлетворительные. Значимые отклонения присутствуют лишь в структуре течения в центральной области расплава. Эти локальные различия могут быть проявлением особенностей дискретизации и решения уравнений Навье — Стокса в рамках метода контрольных объемов (ЛОГОС АГ) и метода конечных элементов (COMSOL), особенно в зонах с потенциально более сложным балансом сил или меньшими скоростями.
Заключение
В рамках публикации было выполнено моделирование магнитогидродинамической задачи перемешивания расплава в индукционной тигельной печи в зарубежном пакете COMSOL Multiphysics и связке двух российский пакетов CADFlo (электромагнитный расчет) и ЛОГОС Аэро-Гидро (гидродинамический расчет).
Полученные результаты демонстрируют как хорошую согласованность, так и локальные отклонения в общих распределениях, структурах и значениях исследуемых параметров. Такое поведение может быть связано со множеством причин, в том числе с разными численными методами, схемами дискретизации, а также артефактами при переносе компонентов объемного усилия из CADFlo в ЛОГОС Аэро-Гидро.
Таким образом, выполненная работа позволяет сделать вывод, что отечественные пакеты имеют перспективы в решении задач прикладной магнитной гидродинамики, но требуются дальнейшие исследования и экспериментальная валидация, а также автоматизация процесса переноса данных между пакетами, чтобы решать задачи в более сложной постановке, учитывающей влияние движения расплава на распределение электромагнитного поля.



